When an intense laser pulse hits a magnetized medium, its impact on the magnetization can usually be attributed to the amount of energy introduced into the material when it is absorbed. Microscopically, this corresponds to an optical excitation of electrons, which are rapidly brought into non-equilibrium and start to scatter with each other and other quasiparticles, changing the electron spin and orbital moments and therefore the long-range magnetization. Although such mechanisms give rise to a variety of fascinating phenomena, including ultrafast demagnetization and laser-induced magnetization switching, they come at the price of a substantial heat load on the material, limiting technological applicability where fast repetition rates are required, e.g., for read/write-operations in future data storage technologies.
An international team of researchers, led by scientists from MBI, has now studied an entirely different, non-thermal pathway of manipulating magnetism by light. Their approach is based on an opto-magnetic phenomenon that does not rely on electronic heating induced by the absorption of the light, but rather on a direct, coherent interaction between the light’s polarization and the electronic spins. The underlying mechanism is the inverse Faraday effect (IFE), which leads to the generation of magnetic moments in a medium optically excited by circularly polarized radiation, with the direction of the magnetization depending on the left- or right-handedness of the circular polarization, i.e., its helicity. However, as the metallic and highly absorptive properties of most ferro- and antiferromagnetic materials typically suppress the aforementioned non-thermal effects, a special technique had to be developed to generate a sizeable opto-magnetic response: Using circularly polarized femtosecond pulses of extreme ultraviolet (XUV) radiation, generated at the free-electron laser FERMI, the scientists could demonstrate the generation of a particularly strong IFE-induced magnetization in a metallic, ferrimagnetic iron-gadolinium (FeGd) alloy. This is possible because of the high photon energy of the XUV radiation, allowing resonant excitation of tightly bound core-level electrons, which due to their intrinsic properties (in particular, a strong spin-orbit coupling) facilitate the generation of large opto-magnetic effects.
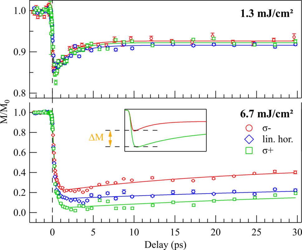
With this approach, the scientists could show that, for different XUV photon energies around the Fe M3,2 core-level resonance, the IFE-induced magnetization can reach up to 20-30% of the ground-state magnetization of the alloy, measured by the difference between the ultrafast demagnetization induced for opposite helicities of the circularly polarized XUV pulses (Fig. 1). Supported by ab initio theory and spin dynamics simulations, it could also be demonstrated that the observed effects are in line with the expected IFE response (Fig. 2) and cannot be explained by a purely thermal helicity-dependent mechanism, such as the well-established x-ray magnetic circular dichroism (XMCD). Providing an efficient method for the non-thermal generation of large magnetization on ultrafast time scales, these findings are expected to be of high relevance for the fields of ultrafast magnetism and spintronics, as well as coherent magnetization control and the science of nonlinear x-ray matter interactions.

