Als Horst Köppel im Jahr 1987 seinen ersten wissenschaftlichen Artikel über das ionische Benzolmolekül publiziert hat, war Martin Galbraith gerade erst auf der Welt. Köppel, Professor in Heidelberg, hatte den perfekten Prüfstein für die bevorstehende Entwicklung einer neuen theoretischen Methode, der sogenannten zeitaufgelösten vielfach Konfigurations-Hartree-Rechnung, gefunden, für die er und seine Kollegen während der folgenden Jahrzehnte berühmt wurden. Das in unserer Umgebung allgegenwärtige Benzolmolekül, dessen Rückgrat aus einem Ring von sechs Kohlenstoffatomen besteht, stellte sich als der perfekte Kompromiss zwischen Komplexität und chemischer Relevanz heraus. Daher haben die Theoriespezialisten aus Heidelberg dieses Molekül immer genauer untersucht und über die Jahre mehr als 30 hochzitierte Publikationen geschrieben, während sie ihre Technik zu einem topaktuellen Hilfsmittel der theoretischen Chemie entwickelten, die nun von Wissenschaftlern auf der ganzen Welt genutzt wird.
Eine entscheidende Sache war aber bislang nicht erreichbar: Die Bestätigung der theoretischen Resultate durch ein zeitaufgelöstes Experiment. Die vorhergesagte Dynamik war einfach zu schnell, auf einer Zeitskala von etwa 10 Femtosekunden. Dieses extrem kleine Zeitintervall erhält man, wenn man eine Sekunde durch 1014 teilt, also durch eine Zahl mit 14 Stellen.
Forscher am MBI erfüllen einen lange gehegten Traum und studieren molekulare Konversion auf einer Zeitskala von wenigen Femtosekunden
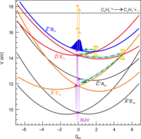
Abb. 1: Schematischer Überblick der niedrigsten acht Komponentenzustände des Benzol-Ions, dargestellt als potentielle Energie V in eV als Funktion einer dimensionslosen effektiven Kernkoordinate Qeff. Die violetten Pfeile markieren die Ionisation durch den Pumppuls, die orangenen Pfeile die Anregung durch den Abfragepuls. Die gestrichelte schwarze Linie bezeichnet die notwendige Energie, um das Fragment C4H3+ zu erhalten. Die strichpunktierten grünen Linien sind eine schematische Darstellung der Zeitevolution eines im E-Zustand erzeugten Ions, das eine Serie von internen Konversionsprozessen durch die markierten konischen Überschneidungen erst zum D- und dann zum B-Zustand durchläuft.
Während seiner Doktorarbeit am Max-Born-Institut hat Martin Galbraith zusammen mit anderen nun die experimentellen Auflösungsgrenzen so weit verschoben, dass Messungen der extrem schnellen Dynamik im Benzolmolekül technisch möglich wurden. "Die Entwicklung von Laserpulsen mit wenigen optischen Zyklen und die Erzeugung von Attosekundenpulszügen mit nur wenigen Bursts hat es uns erlaubt ein photochemisches Experiment mit ungeahnter Zeitauflösung zu entwickeln", sagt Dr. Jochen Mikosch, der Leiter der Studie. Forscher im Bereich von Direktor Marc Vrakking verwendeten einen speziellen spektralen Filter in ihren Experimenten, der es ermöglicht eine definierte Superposition von elektronischen Zuständen im Benzolmolekül zu erzeugen. Damit konnten extrem kurze Lebensdauern gemessen werden, die im Rahmen eines Populationstransfers durch zwei konische Überschneidungen hindurch interpretiert werden konnten. Konische Überschneidungen werden oft als molekulare Trichter beschrieben, in denen sich verschiedene Potentialflächen berühren. Diese Punkte sind von besonderem Interesse, da die normalerweise sehr verschiedenen Zeitskalen der elektronischen und nuklearen Bewegung in einem Molekül dort vergleichbar sind. Konische Überschneidungen spielen eine wichtige Rolle in biochemischen Prozessen, wie etwa der Stabilität von DNA gegen die UV-Strahlung der Sonne und in den ersten Schritten des Sehens bei Tier und Mensch.
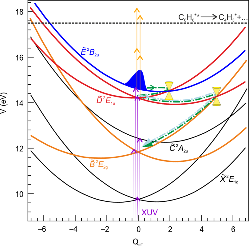
Abb. 2: Experimentell gemessenes C4H3+Fragmentsignal als Funktion der Zeitverzögerung zwischen Pump- und Abfragepuls (rote Punkte). Die schwarze Linie ist ein bi-exponentieller Fit an die Daten, die gestrichelten Linien bezeichnen die Beiträge der beiden Zeitskalen, die von den Durchquerungen der sequentiellen konischen Überschneidungen herrühren. Die kleine Abbildung rechts oben zeigt eine Messung über eine lange Zeitverzögerung.
Die nun vorgelegte wissenschaftliche Studie resultiert aus einer Zusammenarbeit der MBI Forscher mit den Theoriegruppen von Professor Horst Köppel und Alexander Kuleff an der Universität in Heidelberg. "Ich finde es grossartig, daß nach so vielen Jahren, in denen unsere Rechnungen zum Benzol-Ion nur ein Standard für Theoretiker waren, nun ein detaillierter Vergleich von Theorie und Experiment möglich ist und unsere Rechnungen bestätigen kann", sagt Horst Köppel. Die publizierte Arbeit beinhaltet neuere, noch detailliertere Rechnungen, die von Dr. Simona Scheit von der Heidelberger Gruppe ausgeführt wurden, und zeigt eine sehr gute Übereinstimmung zwischen Experiment und Theorie.
Molekulare Dynamik an konischen Überschneidungen spielt eine zentrale Rolle in vielen Schlüsselfeldern der modernen Chemie. Dabei sind oft die ersten Femtosekunden von entscheidender Bedeutung, die bislang nicht experimentell zu fassen waren. Daher ist Dr. Jochen Mikosch zuversichtlich, was die weitere Zukunft der nun entwickelten experimentellen Technik anbelangt, und er zieht das Fazit: "Indem wir einen der schnellsten internen Konversionsprozesse in einem Molekül überhaupt beobachten konnten, haben wir ein neues Feld geöffnet, das uns Wege zur Kontrolle elektronischer Dynamik in komplexen Molekülen ebnen wird.".
Publikationen des MBI
Publikationen von 2025

